近日,徐州市第一人民医院皮肤科张若晨博士(唯一第一作者)的研究成果“Targeted Synergy for Vitiligo in Refractory Areas: A Real-World Study of Ruxolitinib Cream Combined with 308-nm Excimer Lamp”在国际皮肤科领域排名第一的期刊《Journal of the American Academy of Dermatology》(中科院1区,影响因子12.8)上正式发表。

白癜风为常见后天性色素脱失性皮肤黏膜疾病,全球发病率约0.5%~2%,临床治疗存在一定难度。1.5% Ruxolitinib Cream(简称芦可替尼)是一种新型、强效外用JAK-STAT抑制剂,能够促进白癜风复色。既往研究表明,芦可替尼对面颈部疗效显著,但对四肢、手足及躯干等部位的疗效相对不足。

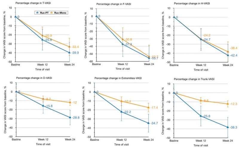
本研究共纳入118例白癜风患者,分别接受芦可替尼治疗(外用每日2次)或联合家用308nm准分子光疗(每周2次)治疗。结果显示,联合治疗组在非头面颈部的难治部位复色效果显著优于单药治疗组:躯干VASI改善率为38.3%vs12.3%,四肢为34.7%vs17.4%,肢端为28.8%vs12.0%。这一发现表明,芦可替尼联合光疗为难治性白癜风提供了新的有效治疗策略。

据悉,张若晨博士近年来一直致力于白癜风发病机制及治疗策略的研究,在导师张学军教授的指导下,参与白癜风JAK抑制剂靶向治疗的真实世界研究。此外,张若晨博士还作为编委会秘书,参与编写《磷酸芦可替尼治疗白癜风专家指导意见(2026版)》。该指导意见有望于2026年在权威期刊发表,对我国白癜风JAK抑制剂规范化诊疗具有重要指导意义。
专家介绍
张若晨
皮肤科主治医师、博士
中国白癜风研究联盟 秘书
芦可替尼治疗白癜风专家指导意见编委会 秘书
多次主持参与省市级课题研究,近年来在白癜风、银屑病及感染性皮肤病等多个领域以第一作者发表SCI数篇,同时擅长皮肤肿瘤的手术治疗及美容注射治疗。
师从皮肤科专家张学军教授,在张教授指导下,正在从事中国白癜风JAKi治疗的真实世界研究。
供稿 | 皮肤科
苏公网安备32031102000718号